1期间配景
压力场是描写流场中各空间点压力大小的标量分散函数,其空间变化(压力梯度)反馈流体微团在分子热请示与宏不雅流动互相作用下的动量传递特点。
不管是航行器的气动升力、船体结构的载荷分析,已经腹黑瓣膜的血流冲击,压力径直决定气动性能、结构响应与能量传递后果,故压力测量在流膂力学究诘与工程试验中尤为进击。
传统交游式压力测量期间如压力传感器或扫描阀需开孔,破裂壁面结构扰动流动景色,且只可取得有限破裂点压力,无法拿获复杂流场中的空间辘集分散;基于“密度-折射-光学”的压力反演非交游式测量期间如Schlieren/Shadowgraph,BOS(配景纹影),以“密度变化”动作中间物理量,通过模子转机为压力,但测量对象局限于可压缩性的气体流场或稀奇液流,且无法测量全场压力。
中科君达视界工程师们基于自研的粒子图像测速(PIV)系统测量的速率场,愚弄Navier-Stokes方程中压力梯度项与速率场的能源学相关,反演流场里面全场压力分散。
2期间旨趣
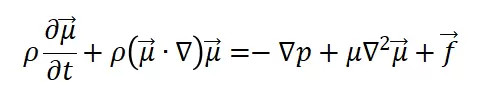
粒子图像测速(PIV)期间动作一种非交游、全场、高空间离别率的测量技能,为压力场重构提供理思的速率场输入,速率场与压力场之间存在严格的物理臆测,即Navier-Stokes方程,对于弗成压缩流体,公式为:

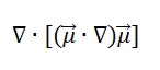
通过对该方程取散度,并愚弄弗成压缩要求,可推导出对于压力的泊松方程,方程标明压力场与速率场的对流加快度散度径直臆测。

因此,愚弄千眼狼粒子图像测速(PIV)软件RFlow4重构要道如下:
I.基于PIV测量系统获取瞬态速率场

II.愚弄测得的速率场缠绵泊松方程右边的源项

即流场的惯性力(对流加快度)。
III.设定稳妥范围要求,通过有限差分等数值门径求解泊松方程,取得全场压力分散。
3期间上风
中科君达视界算法工程师给与的基于粒子图像测速(PIV)速率场反演的压力场重构期间,与基于“密度-折射-光学“的压力反演期间比较,在适用性、易用性上具有互异化上风:
I.适用性:“密度-折射-光学“压力反演期间适用范围受限于流场能否产生可测量的折射率(密度)变化,因此主要应用于可压缩气体或存在显耀密度梯度的稀奇液流。基于粒子图像测速(PIV)速率场反演期间,其物理基础是流体的动量守恒方程,不依赖于介质可压缩性,因此适用于弗成压缩流(如大大批水流)和可压缩流,在液体流场压力测量中具有弗成替代的上风。
II.易用性:Schlieren/Shadowgraph密度-压力反演期间对实验光路的搭建、校准和环境清醒性(抗振)要求暴戾,实验准备和延迟的难度较大。基于粒子图像测速(PIV)速率场反演期间在数据网罗阶段依赖于纯属的PIV硬件系统(高速录像机、激光器、同步器),操作经由标准化,易用性强。
4期间试验
为考据粒子图像测速(PIV)速率场反演期间的灵验性,千眼狼算法工程们开展模拟船体入水砰击压力重构实验,并与Fluent模拟的翼型绕流压力场划定对比考据。
4.1船体入水砰击压力重构实验
●实验简介:模拟船体以一定速率和攻角入水时,可产生瞬态砰击压力,是船体结构联想的舛误载荷。通过千眼狼高速2D2C-PIV系统纪录入水初期流场(图1),愚弄上述泊松方程门径重构压力场(图2)。
●实验划定:PIV测量的速率场显现射流的造成,以及交游线的快速转移和流场突变;通过压力场重构,通过跟踪高压区的转移和变化,显现高压区长久蚁集于射流根部,即水域船底的交游点隔壁,并随交游线的转移而转移。

图1高速2D2C-PIV纪录的初期流场

图2PIV测量的速率场反演的压力场
4.2与Fluent模拟的翼型绕流压力场对比
为考据粒子图像测速(PIV)重构压力场的可靠性,千眼狼算法工程师们将划定与专科CFD软件Fluent的仿真划定进行对比如下。
●考据门径:将Fluent软件缠绵得到的翼型绕流速率场(图3)导入千眼狼PIV软件RFlow进行压力重构,然后将重构划定(图4)与仿真实原始压力场数据(图5)进行比对。
●考据划定:Fluent仿真与PIV重构的压力场在全体结构上高度吻合,两者齐明晰显现了翼型前缘的高压区(红色)、吸力面的低压区(蓝色)和后缘压力规复区。

图3Fluent软件缠绵得到的翼型绕流速率场

图4PIV重构的压力场图5Fluent仿真实压力场
5论断
I.基于粒子图像测速(PIV)速率场反演的压力场重构期间通过“请示-加快度-N-S方程”求解压力,依赖标准经由的PIV实验,适用于气体与液体两种介质;且成绩于千眼狼自研的PIV高速录像机网罗,PIV反演期间亦适用于低速与中高速流动场景,相较于密度光学的压力反演期间,更具有工程应用出路。
II.粒子图像测速(PIV)速率场反演的压力场重构期间可为CFD建模提供物理实证基础数据,尤其在分离流、湍流、空化、涡零散等CFD难以模拟的复杂流动场景上更具应用价值。
III.跟着千眼狼高速录像机时序采样智商进一步提高,PIV压力场重构期间的适用性亦将进一步擢升,在航空航天、船舶工程、能源装备、生物医学等规模迎来更强大的应用。
